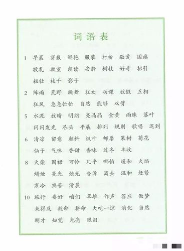
小学三年级语文上册(部编版)词语表
第一单元
-
课文1:《大青树下的小学》
(图片来源网络,侵删)- 早晨 穿戴 鲜艳 服装 打扮 敬爱 国旗 敬礼 安静 树影 粗壮 影子
- 飘扬 汉族 好奇 招引 古老 枝干 影子
-
课文2:《花的学校》
落荒 舞蹈 狂欢 处罚 猜想 扬起 能够 双臂 碰触 口笛 假期 所在
-
课文3:《不懂就要问》
背诵 圈出 厉声 挨打 清楚 霎时 照例 一段 糊涂 练习 照例 厉声
(图片来源网络,侵删)
第二单元
-
课文4:《古诗三首》
山行 石径 斜阳 赠刘景文 菊花 残枝 君子 橙黄橘绿 夜书所见 萧萧 篱落 灯火 知了
-
课文5:《铺满金色巴掌的水泥道》
水泥 放晴 明朗 亮晶晶 金黄 雨靴 叶丛 尽头 平展 规则 排列 凌乱 棕红色 迟到
(图片来源网络,侵删) -
课文6:《秋天的雨》
钥匙 盒子 颜料 勾住 丰收 颜料 仙子 香味 过冬 炎热 果实 菊花 梨子 枫叶 松柏 橙子 淡黄 金黄 金灿灿 频频点头
-
课文7:《听听,秋的声音》
抖动 蟋蟀 振歌 歌韵 掠过 歌吟 辽阔 唠叨 歌韵 辽阔 充满
第三单元
-
课文8:《去年的树》
融化 剩下 砍伐 谷子 伐木 点燃 煤油 灯盏 点燃 告诉 睁眼 离开
-
课文9:《那一定会很好》
咕噜 茶水 招手 感叹 劲头 吹拂 暖和 拂过 裂缝 拆掉
-
课文10:《在牛肚子里旅行》
偷偷 悄悄 悲哀 答应 几乎 知觉 拼命 救命 蹦跳 大吃一命 流泪 打卷
-
课文11:《一块奶酪》
宣布 处罚 诱人 舔一下 强大 犹豫 聚焦 稍息 争先恐后 七上八下
第四单元
-
课文12:《总也倒不了的老屋》
准备 暴雨 晒干 破洞 准备 暴雨 晒干 破洞 偶尔 孤独 发愁 蜘蛛 漂亮 暴雨 晒干 破洞
-
课文13:《胡萝卜先生的长胡子》
发愁 浓密 牢固 晾绳子 沾果酱 继续
-
课文14:《小狗学叫》
干吗 讨厌 发怒 批评 来访 担保 压根儿 模仿 发疯 汪汪 差不多 忍受 孤独
第五单元
-
课文15:《搭船的鸟》
母亲 外祖父 沙啦响 翠鸟 静静 吞下 哨声 捕鱼 翠绿
-
课文16:《金色的草地》
盛开 玩耍 哈欠 钓鱼 观察 有趣 合拢 一本正经
第六单元
-
课文17:《古诗三首》
望天门山 中断 楚江 孤帆 出来 饮湖上初晴后雨 水光潋滟 淡妆浓抹 欲把西湖比西子 晓出净慈寺送林子方 毕竟 六月中 不与四时同
-
课文18:《富饶的西沙群岛》
位于 海参 威武 栖息 宝贵 建设 富饶 鼓起 数不清 成群结队 各种各样 神秘
-
课文19:《海滨小城》
海滨 街道 交界 来来往往 银光闪闪 整理 遍地 满载 载歌载舞 初夏 热闹
-
课文20:《美丽的小兴安岭》
融化 汇成 涨满 欣赏 映照 葱茏 挡住 浸在 鲜嫩 名贵 药材 雪花 飘飘摇摇
第七单元
-
课文21:《大自然的声音》
妙手 奏乐 感受 激动 充满 温柔 雄伟 合唱 呢喃细语 呼唤
-
课文22:《父亲、树林和鸟》
黎明 雾蒙蒙 惊动 舒畅 潮湿 猎人 浓浓 瞬间 猎人
-
课文23:《带刺的朋友》
枣树 摇摆 晃动 突然 枣树 摇摆 晃动 突然 追逐 缓缓 暗暗 高兴劲 失望劲
第八单元
-
课文24:《司马光》
司马光 庭院 登上 跌落 众皆弃去 光持石击瓮破之
-
课文25:《掌声》
文静 默默 轮流 讲台 一摇一晃 热烈 持久 平静 掌声 姿势 情绪 投向 调来 况且 镇定
-
课文26:《灰雀》
郊外 养粉 灰雀 胸脯 惹人喜爱 仰望 或者 肯定 诚实 可惜
-
课文27:《手术台就是阵地》
斗争 激烈 仍然 恳求 撤离 危险 尽量 继续 血丝 斗争 激烈 仍然 恳求 撤离 危险 尽量 继续 血丝
学习建议
- 分类记忆:可以将词语按“写景”、“人物”、“动作”等类别进行整理,帮助理解词义。
- 结合语境:不要孤立地背词语,最好能记住它所在的句子,理解在具体语境中的意思。
- 多读多写:多读课文,加深印象,听写是巩固词语最有效的方法之一。
- 活学活用:鼓励孩子在造句和写作中运用学过的新词语,真正内化为自己的知识。
希望这份详细的词语表对您有帮助!
